在過去,由于腦細胞損傷的不可逆性,腦癱一度被認為是一種缺乏根治手段的疾病,主要的治療方式集中于癥狀管理和功能康復。
然而,現代醫學的進步正在改變這一局面,其中,干細胞療法的興起尤為引人注目。它通過修復受損的神經組織、調節炎癥反應并促進內源性神經再生,為腦癱治療帶來了革命性的希望。對于輕度腦癱患者而言,其神經系統仍保有較強的可塑性,這為干細胞干預提供了尤為關鍵的“窗口期”。
本文將結合多項臨床研究與機制探索,系統闡述干細胞療法在治療輕度腦癱中的療效與潛在價值,看看它到底能改善哪些癥狀。

干細胞療法治療輕度腦癱:療效如何?能改善哪些癥狀?
一、干細胞療法為什么可以治療腦癱?
干細胞療法為什么能夠治療腦癱,主要是基于其以下幾方面的作用機制:
替代與修復:干細胞被注入體內后,能夠遷移至大腦受損區域。它們可以分化成新的神經細胞,替代受損的腦細胞,同時通過分泌腦源性神經營養因子(BDNF)、神經生長因子(NGF)?等多種營養因子,促進受損神經元的修復和突觸連接的重建。
抗炎與免疫調節:腦癱的病理過程中常伴隨著炎癥反應。干細胞,特別是臍帶來源的間充質干細胞,能分泌抗炎因子,調節過度的免疫反應,為大腦創造了一個更有利于修復的微環境[citation:12]。
促進血管新生:干細胞還能分泌血管內皮生長因子(VEGF)?等,促進新的血管生成,改善大腦的血液供應和營養輸送。
這些機制不僅針對癥狀緩解,更注重神經功能的根本性修復,與傳統療法的“維持現狀”形成鮮明對比。
二、干細胞療法治療輕度腦癱患者的臨床療效
理論上的潛力需要嚴謹的臨床數據來驗證。以下多項研究為我們揭示了干細胞療法在輕度腦癱治療中的具體表現。
1.干細胞治療無智力障礙輕度腦癱患者臨床療效評估
2011年,解放軍第四六三醫院在國內著名期刊《中國全科醫學》上發表了一篇名為《臍帶間充質干細胞治療腦癱51例療效觀察》的臨床成果。[1]
研究對象為229例腦癱患者,其中選取51例輕度腦癱患兒作為研究重點,這些患兒無智力障礙,長期接受康復訓練且近一年內功能無明顯進展。研究通過日常生活活動能力(ADL)評分評估干細胞治療的療效。
治療方案為:每個療程進行4次臍帶間充質干細胞注射,周期為21~28天。

臨床結果顯示,患者日常生活活動能力得到顯著改善,具體來說床上運動、認知交流動作、步行動作的得分及總得分均顯著提高,提示干細胞治療在改善基礎運動功能和認知相關動作方面效果顯著。(見表1)
但個人衛生、進食、更衣、排便動作的得分差異無統計學意義,表明這些精細動作的改善可能受限于當前治療手段或評估周期。

該研究表明,臍帶間充質干細胞治療能夠顯著改善無智力障礙輕度腦癱患兒的基礎運動功能及認知相關動作,但對精細生活動作的改善效果仍有限,提示未來需要結合康復訓練或延長觀察周期以提升整體日常生活能力。
2.干細胞療法對輕度腦癱患者流涎癥臨床療效觀察
2017年,中國武警總醫院在期刊《武警醫學》上發表了一篇關于《臍帶間充質干細胞移植治療腦癱患兒流涎癥療效觀察》的臨床研究成果。[2]
本研究納入25例輕度腦癱合并流涎癥患兒,隨機分為實驗組和對照組。實驗組每位患兒接受4次腰椎穿刺干細胞移植術,而對照組未進行任何手術或藥物干預。研究通過唾液分泌頻率(SF)、流涎生活質量評分(DQ)以及吞咽功能評估(W指標)對療效進行跟蹤評估,時間點為術后1個月、3個月及6個月。

結果表明:實驗組與對照組在術后1、3、6個月的評估中顯示,實驗組的唾液分泌頻率(SF)和流涎生活質量評分(DQ)均顯著低于對照組(P<0.05),且差異具有統計學意義。
具體而言:
- W指標(吞咽功能評估):術后1個月,實驗組治愈率為69.23%,3個月為38.46%,有效率均為69.23%,顯著優于對照組。術后6個月,實驗組與對照組差異無統計學意義,但實驗組患兒與術前相比,6個月時治愈率為23.08%,有效率仍達69.23%,表明治療效果具有長期維持效應。
- SF指標(唾液分泌頻率):術后1個月,實驗組治愈率為61.54%(完全緩解),3個月和6個月時治愈率分別降至23.08%,但有效率(顯著改善)始終維持在69.23%。對照組在所有時間點的治愈率均為0%。
- DQ指標(流涎生活質量評分):術后1個月,實驗組治愈率達69.23%,3個月降至46.15%,6個月為23.08%,有效率同樣穩定在69.23%。對照組生活質量無改善。
研究顯示,臍帶間充質干細胞移植可顯著改善輕度腦癱患兒的流涎癥狀。術后1個月,唾液分泌頻率和生活質量均明顯改善,有效率在整個隨訪期維持約69%。吞咽功能在早期改善顯著,6個月后雖與對照組差異不大,但仍優于術前水平。整體而言,該療法安全有效,能夠穩定緩解癥狀,顯著提升患兒生活質量。
3.干細胞治療不同嚴重程度腦癱患者的多中心薈萃分析
2025年4月11日,澳大利亞腦癱聯盟研究所在國際期刊《PEDIATRICS》上發表了一篇關于《腦癱兒童臍帶血治療:個體參與者數據薈萃分析》的研究成果。[3]
本次研究共納入了11項研究共獲取498份受試者數據記錄。分別對170名接受臍血治療的受試者和171名對照受試者的主要分析。臨床研究顯示以下關鍵結論:

1.總體療效:UCB治療在6個月和12個月隨訪中顯著改善運動功能,但1個月和3個月無明顯效果。敏感性分析(排除偏倚研究)顯示結果穩定,異質性僅在短期隨訪中顯著。(圖1)

2.劑量越高效果越顯著:3個月和12個月時,總核細胞(TNC)計數≥50×10?/kg的治療組效果更佳。低劑量(<50×10?/kg)效果接近不明顯,提示需明確最低有效劑量。(圖2)

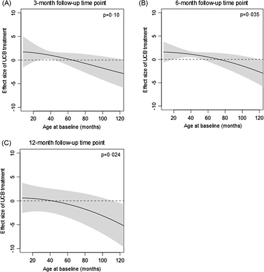
3.CP嚴重程度差異:輕度患者(GMFCS I-III)在3、6、12個月均獲益更明顯,調整基線年齡后差異仍顯著。重度患者(GMFCS IV-V)對任何劑量均無顯著反應,提示治療需分層管理。(圖3)

4.年齡越小療效越強:6個月和12個月隨訪中,年輕患者對UCB更敏感。

5.安全性:UCB治療安全,僅1例嚴重不良事件(冷凍保護劑反應),其他不良事件(如過敏反應)輕微且非UCB直接相關。
綜上所述,UCB治療對CP的長期療效顯著,且安全性良好,但需根據嚴重程度、年齡、劑量制定個體化方案。
三、干細胞療法對輕度腦癱患者具體癥狀改善方向
綜合現有臨床證據,干細胞療法對輕度腦癱的改善主要集中在以下幾個方面,其效果概括如下:
| 改善維度 | 核心改善點 | 具體表現 |
|---|---|---|
| 運動功能 | 粗大運動 | 行走穩定性、站立平衡能力、上下樓梯能力提升。 |
| 精細功能 | 精細運動與口部功能 | 手部抓握、取物操作更靈活;流涎減少,吞咽與發音清晰度改善。 |
| 認知與日常 | 認知交流與自理能力 | 理解與執行指令能力、學習新事物速度、與環境互動意愿增強;在進食、穿衣等日常活動中更獨立。 |
值得注意的是,這些改善并非孤立發生。例如,運動能力的提升會增強孩子探索環境的信心,從而促進認知發展;流涎的減少和發音的改善則會直接提升其社交意愿與能力。
因此,干細胞療法帶來的是一種整體功能和生活質量的協同進步。
四、關鍵注意事項:理性看待療效邊界
在懷抱希望的同時,我們必須理性認識到當前干細胞療法的邊界所在:
它不是“萬能神藥”:干細胞療法的主要目標是修復和改善功能,而非徹底“治愈”。其效果會受到患兒自身腦損傷基礎程度、年齡、治療時機等多種因素制約。
無法取代康復訓練:必須強調,干細胞療法與康復訓練是協同互補,而非替代的關系。干細胞為神經修復提供了“種子”和“土壤”,而系統的康復訓練則是引導和強化功能重建的“導航”與“鍛煉”。二者結合,才能實現療效最大化。
療效存在個體差異:正如臨床研究所示,年齡越小、病情越輕、治療劑量和方案越優化的患兒,獲益通常更顯著。每位患兒的反應都不盡相同,需管理預期。
選擇正規渠道至關重要:目前,干細胞治療腦癱仍主要處于臨床研究階段。務必選擇國家認可的的干細胞醫療機構進行咨詢和評估,切勿輕信非正規渠道的夸大宣傳,以免帶來健康與經濟上的雙重風險。
五、展望:干細胞療法為輕度腦癱患者帶來新希望
回顧過去,從認為腦癱“不可治”到如今擁有多種改善手段,醫學的進步已經為無數家庭帶來了光明。干細胞療法,作為再生醫學的代表,正是在這一進程中涌現出的最具潛力的方向之一。
它為我們描繪了這樣一個未來:對于輕度腦癱患兒,我們不再僅僅滿足于通過代償和適應來“管理”癥狀,而是能夠主動干預,從神經修復的層面去促進功能的實質性恢復。
盡管前路依然漫長,還需要更多的研究來優化細胞來源、輸注方案和最佳治療時機,但現有的臨床證據已經為我們指明了充滿希望的方向。未來,隨著基因工程技術、材料科學與干細胞技術的深度融合,更精準、更高效的個體化細胞治療方案有望成為現實。
對于輕度腦癱患兒家庭而言,干細胞療法的出現,意味著在傳統的康復之路之外,多了一份新的選擇和希望。秉持科學的態度,積極了解,審慎決策,并與專業醫生充分溝通,我們就能共同為孩子的未來,探索出更優的康復路徑。
參考資料:
[1]王金剛,尹忠民,聞華,等.臍帶間充質干細胞治療腦癱51例療效觀察[J].中國全科醫學,2011,14(21):2446-2447.
[2]彭亞偉,王曉東,徐成娥,等.臍帶間充質干細胞移植治療腦癱患兒流涎癥療效觀察[J].武警醫學,2017,28(05):478-482.DOI:10.14010/j.cnki.wjyx.2017.05.014.
[3]https://publications.aap.org/pediatrics/article/155/5/e2024068999/201565/Cord-Blood-Treatment-for-Children-With-Cerebral?autologincheck=redirected
免責說明:本文僅用于傳播科普知識,分享行業觀點,不構成任何臨床診斷建議!杭吉干細胞所發布的信息不能替代醫生或藥劑師的專業建議。如有版權等疑問,請隨時聯系我。
掃碼添加官方微信