漸凍癥,醫學上稱為肌萎縮側索硬化癥(ALS),是一種殘酷的神經退行性疾病。患者的運動神經元逐漸受損,導致肌肉無力、萎縮,身體如同被逐漸凍住一般,最終失去自主運動能力,甚至呼吸、吞咽和言語功能也會受到嚴重影響。在眾多受影響的功能中,言語功能的喪失對患者的社交、情感交流以及生活質量造成了巨大打擊。不過,隨著醫學科技的飛速發展,干細胞療法為漸凍癥患者的言語功能改善帶來了新的希望。
什么是漸凍癥患者言語功能受損?
漸凍癥患者言語功能受損的表現形式多樣。起初,患者可能只是發音變得不夠清晰,語速變慢,一些復雜的詞匯發音開始出現偏差。隨著病情進展,聲音會逐漸變得微弱,音量減小,說話時氣息不足,甚至難以完整表達一個句子。許多患者在與人交流時,對方常常需要反復詢問、猜測才能理解其意思,這使得患者的溝通變得極為困難,社交活動也被迫大幅減少。
從病理角度來看,漸凍癥導致大腦和脊髓中的運動神經元死亡,支配咽喉部、舌部等發音和構音相關肌肉的神經也受到損害。這些肌肉得不到正常的神經信號支配,逐漸出現萎縮、無力,進而無法協調完成發音、共鳴、呼吸等言語產生所必需的動作,最終導致言語功能嚴重受損。
干細胞療法的作用機制
干細胞治療的核心概念是利用干細胞的自我更新和分化能力來替代受損的神經細胞。干細胞可以分化成多種類型的細胞,包括運動神經元,這些神經元在ALS中會逐漸退化和死亡。通過移植干細胞到受損的神經組織中,理論上可以替代丟失的神經細胞,從而恢復神經功能。
詳情信息請點擊(干細胞治療漸凍癥的機制是什么?)
本文將通過臨床案例為您介紹干細胞療法改善漸凍癥患者言語功能。
干細胞療法改善漸凍癥患者言語功能:臨床數據與患者見證
臨床案例:臍帶間充質干細胞治療后,患者言語功能評分明顯高于治療后第 14 天
2016年9月30日,廣東省中醫院在國內期刊《山東醫藥》上發布了一篇《臍帶間充質干細胞移植治療肌萎縮側索硬化癥的短期療效及安全性分析》的研究結果,目的探討臍帶間充質干細胞(UC-MSCs)移植治療肌萎縮側索硬化癥(ALS)的效果及安全性。

臨床結果顯示:
ALSFRS-R評分:治療后第 14 天穿衣和衛生評分明顯高于治療前; 治療后第 28 天,言語、穿衣和衛生功能評分明顯高于治療前,且言語功能評分明顯高于治療后第 14 天。

結論:臍帶間充質干細胞移植治療 ALS 短期效果好且較為安全,且患者言語功能評分明顯高于治療后,有顯著改善。
臨床案例:自體譜系陰性干細胞治療后,患者發音功能出現改善
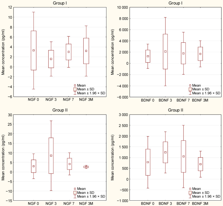
2020年7月19日,波蘭什切青波美拉尼亞醫科大學在國際期刊《International Medical Journal》上發布了一篇《譜系陰性輔助細胞治療后 ALS 患者的關節功能恢復 – 初步報告》的研究結果,這項初步研究旨在調查對 ALS 患者應用自體譜系陰性干細胞/祖細胞療法是否會影響所選營養和促炎因子的水平,從而改善發音。

臨床結果表示:
在接受LIN細胞治療的 12 名患者中,8 名 (第 I 組) 的發音功能出現短期改善,尤其明顯的是發聲時間、嘴唇和軟腭表現、吞咽反射和聲音響度的改善。4 名患者 (第 II 組) 沒有表現出明顯改善。第 I 組患者的腦脊液 BDNF、ANGP-2 和 PDGF-AA 濃度在注射 LIN 細胞 28 天后顯著下降。注射后第 3 天,血漿中 BDNF 濃度水平達到最高(組 II),NGF 濃度水平達到最高(組 2)。

結論:LIN細胞在 ALS 關節器官治療中的應用效果良好。該程序被證明是安全可行的。自體LIN給藥的短暫營養作用可以鼓勵重復應用細胞以維持其有益效果。
臨床案例:脂肪間充質干細胞治療后,沒用構音障礙,ALSFS-R 升高至 45
2021年6月1日,日本京都國立醫院組織南京都醫院在國際期刊《European Review of Medicine and Pharmacology》上發布了一篇《接受自體脂肪間充質干細胞移植的肌萎縮側索硬化癥 (ALS) 患者實現了長期生存》的研究結果,本研究報告了一例接受自體脂肪間充質干細胞 (ADSC) 治療的 ALS 病例,并進行了 7 年的隨訪。

自2013年起,患者共接受6次自體ADSC靜脈輸注,評估肌電圖、神經傳導和ALSFS-R的變化。
臨床結果顯示:
給藥后不久,患者發現在交談或進食時沒有咳嗽。雖然下樓梯有困難,但身體狀況良好,沒有咳嗽、構音障礙或吞咽困難。他的 ALSFS-R 升高至 45。在檢查的任何肌肉(包括斜方肌和股直肌)中均未檢測到束狀電位。截至本文撰寫時,患者在接受 ADSC 治療后已健康 7 年,從發病到現在已經健康 10 多年。
結論:本病例表明,自體脂肪間充質干細胞可以安全給藥,并且改善漸凍癥患者的言語、肌肉功能等癥狀。
總結
綜上所述,干細胞治療漸凍癥,可以改善漸凍癥患者的言語功能癥狀。目前干細胞療法在漸凍癥治療領域仍處于不斷探索和完善的階段。未來,隨著研究的深入和技術的進步,我們有望看到更優化的干細胞治療方案,進一步提高治療效果,延長患者的生存期,改善患者的生活質量。或許在不久的將來,干細胞療法能夠成為漸凍癥標準治療方案的重要組成部分,為更多患者帶來 “解凍” 的希望,讓他們重新找回言語交流的能力,重燃生活的信心。
免責說明:本文僅用于傳播科普知識,分享行業觀點,不構成任何臨床診斷建議!杭吉干細胞所發布的信息不能替代醫生或藥劑師的專業建議。
版權說明:本文來自杭吉干細胞科技內容團隊,歡迎個人轉發至朋友圈,謝絕媒體或機構未經授權以任何形式轉載至其他平臺,轉載授權請在網站后臺下方留言獲取。
掃碼添加官方微信